Matematica in Palio
lunedì 5 settembre 2016
Economia, prof. Quaranta, 05/09/2016
Economia, prof. Quaranta, 05/09/2016
Svolgimento
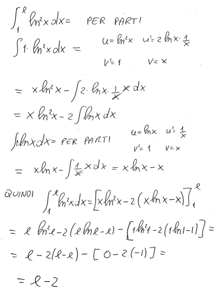
Esercizio n.1
Esercizio n.2
Nel punto c=1 si ha f(g(1))= 4 e g(f(1))=3.
Esercizio n.3
Esercizio n.4
Esercizio n.5
Esercizio n.6
Nessun commento:
Posta un commento
Post più recente
Post più vecchio
Home page
Iscriviti a:
Commenti sul post (Atom)
Nessun commento:
Posta un commento